Родители амурских детей-инвалидов пожаловались на поборы в школах-интернатах. Семьи отправляли своих слабовидящих, неслышащих, неговорящих и с другими особенностями здоровья детей получать образование в специализированные учреждения. Но вместо хорошего отношения и внимания люди получали «бешеные» списки. По словам родителей, несколько лет подряд с них требовали покупать одежду, канцелярию, средства личной гигиены, спортивный инвентарь и многое другое. Люди сдавали деньги на ремонты, мебель и только этой весной узнали, что федеральный закон об образовании не допускает такие «отношения».Воспитанников всем должны были обеспечивать в интернатах. Прокуратура уже начала проверку. На Амур.лайф истории этих семей.
История Натальи Тимошенко и ее сына Ильи
У Илюши четвертая степень тугоухости. До трех лет наш сын не слышал совсем. Потом ему сделали операцию, поставили кохлеарный имплант. Мы сами из Свободного, здесь специалистов, которые могли бы научить сына говорить и слышать, не было, от нас все отказывались. Проще научить ребенка выговаривать «р» или воспроизводить звуки, которые он когда-то слышал и потом потерял слух, чем научить его говорить с нуля в таком возрасте. Поэтому мы ездили в Благовещенск заниматься у хорошего дефектолога. Когда Илюше было 6 лет, мы проходили комиссию перед школой, психологи уговорили нас отдать ребенка в специализированный интернат в Благовещенске, сказали, что там работает «мощный» логопед. Мы поехали посмотреть – так ли это, и как раз в этот момент преподаватель вывела на улицу своих «цыплят». Она увидела нас и попросила детей поздороваться, они так четко сказали: «Здравствуйте». Нас это поразило и обрадовало. Конечно, было тяжело отдавать ребенка, но мы хотели, чтобы он заговорил. Во время установки импланта, им лезут в голову, устанавливают аппарат, проводки все эти, мы хотели, чтобы все это было сделано не зря. Не зря ребёнок такое перенёс.
В школе-интернате мы проучились четыре года. И постоянно нам выдавали «бешеные» списки, что нужно купить: 2 костюма ( один с пиджаком), не менее 4-5 рубашек, одна из них белая, обувь (туфли на праздники и на повседневную носку в класс), на неделю нижнего белья и носков, так как они там не стирают, форма для физкультуры (белая футболка,черные шорты,белые носки и черные чешки), форма на танцы (желтая футболку,черные шорты,желтые носки и черные чешки). В интернат для проживания: вещи для прогулки и игрушки для улицы (перечень прилагался – это мячи,санки, ведра, лопатки и многое другое ). При этом в комнату для проживания другой список игрушек: мячи – большой и маленький, книги, пазлы, раскраски, фломастеры, цветные карандаши и многое другое. Чтобы у детей и в классе, и в интернате было чем заняться, списки очень большие. У нашей семьи, чтобы собрать ребенка в школу уходило до 50 000 рублей за год. Это не считая финансовой помощи интернату: то на доску, то на окна ,то на линолеум и на нужды класса; коврики в спальню, а родителям, у которых дети не жили, просили приобрести раскладушки для дневного сна их детям. Детям без родителей просили оказать помощь и указывали, что именно. Я покупала для мальчика галстук. Еще приобретались медикаменты: глицин, нурофен, йод, зеленка, пластыри и так далее. В списках было и мыло, количество тоже указывалось,три полотенца – одно большое для тела, 2 маленьких для лица и для ног, туалетная бумага, салфетки (влажные и простые); для класса и для спальни: нитки, иголки, маникюрные ножнички, кулеры с водой и одноразовые стаканчики, и многое-многое другое. Я не придавала этому значения, хотела помочь, ведь мой ребенок там проживал. И еще они говорили: «Вы на выходные ребенка увозите, забирайте в пятницу вечером, потому что у нас даже наших государственных деток нечем кормить, мы – учителя сами им "дошираки" покупаем». Я когда это услышала, стала привозить в интернат овощи с деревни – огурцы, кабачки, помидоры, картошку. Они еще попросили справку, что мы не продаем и все домашнее. Мама брала бумагу в сельсовете.
Мы меняли линолеум, окна, на нужды класса сдавали деньги, покупали мячи футбольные, игрушки для улицы и класса. Однажды нас попросили купить галстук для мальчика. Костюмы для выступлений мы должны были шить и оставлять там, дарить им. Деньги бешеные уходили. Одной девочке мы подарили слуховой аппарат, потому что работники интерната не смогли почистить ее действующий, он забился и сломался.
Через некоторое время наш преподаватель ушла на пенсию, пришла учитель, которая сказала, что не будет «учить по одному слову в год». Стали проводить занятия по дактильной речи – общение жестами. Мы как раз в тот момент поменяли речевой процессор, нам сказали: «Если ребенок не будет находиться в речевой среде, то он через полгода вам даже "мама" не скажет». Конечно, мы забрали из школы ребенка и перевели в обычную общеобразовательную школу в Свободном. Тогда нам начали звонить и угрожать из интерната, говорили, что лишат родительских прав, потому что ребенок не сможет нормально учиться, что не потянет речевую среду, пойдет работать дворником, и что обратно в школу-интернат нас не примут «из принципа». Хотя ребенок с имплантом слышит до шепота. Илюша уже год в обычной школе, и все у него получается. Но в прокуратуру мы все равно обратились. Потому что много мам детей, которые находятся в интернате, боятся говорить, а нам уже терять нечего. Мне жалко мам-одиночек, которых запугивают также, как пытались меня. У многих семей нет возможности тратить такие деньги на сборы ребенка в школу-интернат. Это несправедливо, что для получения образования наши дети были вынуждены уехать далеко от дома, так еще с нас собирали деньги абсолютно на все. А оказалось, невозможность создания специальных образовательных условий в шаговой доступности, федеральный закон № 273 гарантирует полное гособеспечение детей.
История Олеси Глушковой и ее сына Саши
Мы 7 лет проучились в этом интернате и только этой весной я узнала, что мой ребенок должен был находиться на полном гособеспечении. Сами мы из Серышева, здесь обучать ребенка с тугоухостью нет возможности, а в обычную школу его уже не возьмут – прооперировали Сашу поздно. В 2013 году сын пошел в нулевой класс в интернат. Сначала все было хорошо. А потом нам в приказном порядке сказали: «Забирайте ребенка в пятницу вечером, привозите утром в понедельник». Мы конечно за то, чтобы наш сын был дома на выходные. Но будить его в 4 утра в понедельник, чтобы посадить на маршрутку, потому что в воскресенье вечером нельзя отвезти...»
В конце года нам выдавали списки – сколько надо купить рубашек, брюк, обуви, альбомов, ручек, бумаги, зубной пасты. Даже прикроватные коврики покупали. Я выросла в обеспеченной для нашего поселка семье. Пока были родители, они помогали. Сейчас я мать-одиночка, работаю, но зарплата небольшая, еще есть пенсия сына. У нас очень дорогое обслуживание импланта, батарейки нужно менять каждые четыре дня. Мне обидно за детей, которые по закону должны были получать все необходимое, а на деле – родители не то что компенсацию не получают, а покупают еще все в сам интернат. А когда я написала заявление в прокуратуру, мне позвонили, спросили: хорошо ли я подумала об этом. Правда, после онлайн-приема прокурора, в классной группе преподаватель рассказал об остатках канцелярии, а нам вернули деньги за ремонт, мотивируя тем, что пандемия. Никогда такого не было.
Тем не менее, в школу возвращаться мы не намерены. Я переживаю, что сыну не дадут учиться там нормально. Перейдем на домашнее обучение. Саше уже 14 лет, я не хочу, чтобы к моему ребенку плохо относились. Он уже немаленький, все видит и понимает.
История Антонины Степановны Гамзы и ее внучки Вики (село Тамбовка)
Моя внучка родилась с психическими отклонениями в здоровье. Сейчас ей 13 лет, она плохо говорит. Я одна воспитываю двух несовершеннолетних внуков. Дочь (мама детей), будем считать, ребятишек бросила. С внучкой Викой я занималась сама, всему ее учила. Потом мы поехали на комиссию ПМПК. Мне предложили отправить ребенка в интернат. Психологи сказали, что так будет даже лучше – там с детьми занимаются хорошие специалисты, что ребенок будет под присмотром, и я немного «выдохну». Тяжело это – тянуть детей, мне уже 71 год. В общем, расхвалили так, что я «клюнула». Мы пошли в школу-интернат 1 сентября 2019 года.
Собирала ее, как положено. Купила форму (но потом попросили купить другую), канцтовары. Сказали приобрести туалетную бумагу, средства гигиены, даже, извините, гигиенические прокладки для девочек. Причем не только для моей внучки, а для других воспитанниц. Просили сдавать деньги на ремонт телевизора. 300 рублей. Деньги небольшие, но у меня пенсия всего 12 тысяч рублей. А еще проезд из Тамбовки в Белогорск – 2 тысячи рублей. А приезжать приходилось часто. Мне звонили при малейшем намеке на температуру. Я туда привозила лекарства, забирала Вику на прием к доктору. А еще как домой едем – так постоянно вши у ребенка. Вывести их сложно, лекарства дорогие. Еще внучка жаловалась на то, что постоянно хотела кушать, но добавки не давали, и они не гуляли всю зиму. Потому что у одного из мальчиков не было теплых штанов.
Я решила, что больше туда ни ногой. С апреля мы дома находимся. Я расстроена, потому что Вика училась до этого хорошо, а сейчас даже таблицу умножения не знает. Сейчас все лето будем заниматься дома, а потом перейдем на обучение здесь в коррекционный класс, учителя будут к нам приходить из местной школы. Что касается компенсации за питание из-за пандемии, то нам ничего не выдали. Документы из интерната мы забрали, а в Тамбовскую школу еще не поступили. А когда написали коллективную жалобу в прокуратуру, мне стали звонить из интерната, давить. Я сказала им, что ничего плохого не сделала, рассказала правду. Мне жалко детей этих. Они и так обижены.
Наталья Маскаева
Член Общественной палаты Амурской области, Член правления РО АО ВОРДИ, Учредитель Областной Общественной Организации детей - инвалидов «Дети Солнца», мама ребенка с синдромом Дауна
Когда наших детей отправили на дистанционное обучение, я как общественник, мама ребенка-инвалида и просто неравнодушный человек, решила узнать, как в области реализуется это право для детей с ограниченными возможностями. Обратила внимание на то, что в разных школах, интернатах семьям по-разному компенсируют питание.Что даже воспитанники школ-интернатов получают продуктовые наборы за двухразовое питание: завтрак и обед, хотя обучаются там, находясь круглосуточно , включая выходные. Я еще не знала тогда, что с 2015 года родителей обязали забирать детей на выходные по домам, что противоречит федеральным НПА.
Я обратилась к зампреду правительства, министру образования Амурской области - Яковлевой Светлане Вячеславовне за разъяснениями по формированию и выдаче продуктовых наборов нашим детям и попросила выдавать на руки родителям накладные со стоимостью получаемых продуктов. Получила ответ, что все делается согласно федерального закона, а отчитываться перед нами не намерены, только перед минфином. Мне показалось это неправильным.
Я начала читать закон №273, статью 79, пункт 7 и увидела, что дети, которые обучаются в учреждениях с проживанием, должны находиться на полном гособеспечении. Иные дети с ОВЗ обязаны получать двухразовое питание.
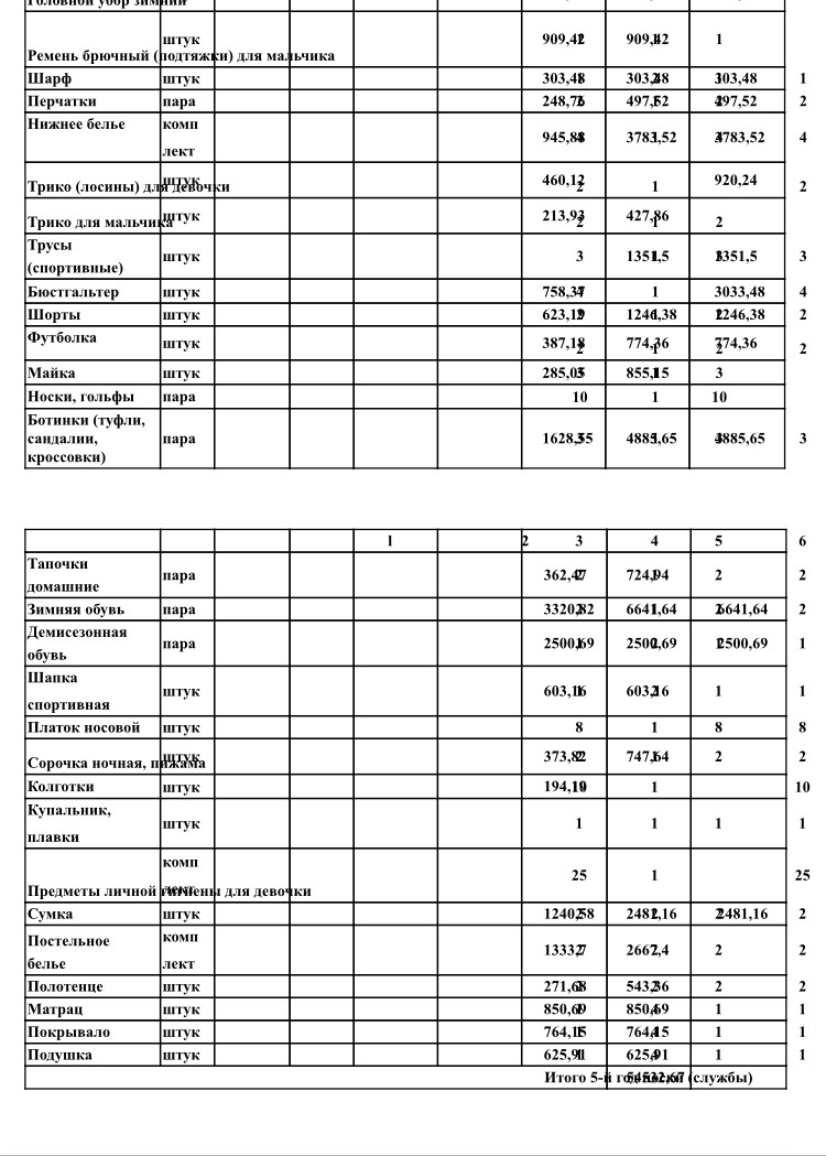
Тогда я спросила у родителей детей с ОВЗ из других регионов, как у них обстоят дела с питанием. Мне отправили документы из Бурятии, в которых прописано все, чем должны быть обеспечены дети в спецучреждениях – от маек до спортивной формы, от мячей до школьных портфелей. Родители приезжают на специальный склад и выбирают все необходимое по списку. Наверное, это только в Бурятии такое, подумала я и некоторые родители. Оказалось, что нет.
Я позвонила в заксобрание Амурской области, спросила – есть ли у нас НПА – нормативно – правовые акты для области , которые регулируют эту ( федеральную) льготу, и получила ответ, что такие акты не нужны, потому что данная льгота прописана в федеральном законе , а он имеет высшую юридическую силу. Там же мне сказали, что амурские родители детей-инвалидов уже получают денежную компенсацию за одежду и все остальное на расчетный счет каждый год. В этот момент повисла неловкая пауза. Я возразила: «Ничего родители не получают» . «Ваши родители лукавят» – услышала в ответ. В другой день маме ребёнка, обучающегося в школе-интернате с нарушениями зрения, ответили, что льгота имеет заявительный характер, и так как никто до этого не обращался за выплатой, нормативные акты разработаны не были.
Вообще я не конфликтный человек и пытаюсь решить все при личных встречах, в разговорах, но тут я не выдержала и написала заявление в прокуратуру. Я впервые сталкиваюсь с таким цинизмом. Я позвонила по каждому интернату, нашла родителей, которые согласились рассказать свои истории. Семьи не слышали ни о каких компенсациях и помощи. И так в разных учреждениях в разных населенных пунктах нашей области. Я проконсультировалась с юристами Всероссийской организации детей-инвалидов, эти люди работали в прокуратуре и следственном комитете. Они сказали, что это недоработка наших местных властей. Федеральный закон действует с 2013 года. То есть 7 лет дети их семьи должны были получать льготу либо деньгами, либо в натуральном виде. Это грубейшее нарушение прав наших детей, и прокуратура это подтвердила.
В ответе прокуратуры говорится:
Установлено, что министерство образования и науки Амурской области в нарушение закона не приняло меры к обеспечению детей с ограниченными возможностями, обучающихся и проживающих в коррекционных образовательных организациях области, одеждой, обувью, мягким и женским инвентарем. В целях устранения нарушений прокуратура области министру образования и науки области внесла представление. Помимо этого, нарушения выявлены при организации питания детей с ограниченными возможностями здоровья в период дистанционного обучения. По данным фактам также приняты меры прокурорского реагирования. В настоящее время проверка продолжается. Ее результаты и фактическое устранение нарушений контролируется прокуратурой области.
Журналисты Amur.life направили официальный запрос в министерство образования и науки Амурской области с просьбой прокомментировать ситуацию, рассказать на что могут рассчитывать дети-инвалиды – учащиеся школ-интернатов, а также какие будут применяться меры и санкции при сложившихся обстоятельствах. Ответ в ведомстве обещали дать до 31 июля 2020 года.
При использовании материалов активная индексируемая гиперссылка на сайт AMUR.LIFE обязательна.
                    
            
            
            
                                                                    
                        



                                
                                
                                
                                
                                
                                
                                
                                
                                
                                
                                